1. Prepare phenotypic data of hybrids and inbred lines
2. Prepare genomic data for inbred lines, code it as -1, 0, 1, while the homozygotes are coded as -1 and 1, the heterozygotes are coded as 0.
3. Prepare genomic data for hybrids. If a hybrid H1 is a cross between male line M1 and female line F1, then SNPH1=(SNPM1+SNPF1)/2. For hybrids MH1 generated by a mixture of two male lines M1, M2 crossing with female F1, then SNPH1=(SNPM1+SNPM2+2*SNPF1)/4.
4. Use the above SNP data to obtain the design matrices for additive and dominance markers ZA and ZD, respectively.
5. Solve the model Y=T+ZAa+ZDd+e, while, Y is the across experiment series BLUEs, đ is a fixed effects type of genotype (either lines or hybrids), is the additive marker effect, e is the dominance marker effect, and e is the residual.
6. Transfer the model to the equivalent model , while, X is the design matrix of intercept and fixed effect T, with the and; with the and
7. Use R package âBGLRâ to get the variances , and from model . Use the same method as presented in the supplementary information of Zhao, et al. 2021.
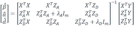
8. Estimate additive marker effects and dominance marker effect and fixed effect t
while , , is an identity matrix of dimension m, and m is the number of SNP markers.
9. Prepare genomic data for a suitable size group of potential hybrids. If hybrid H2 is crossing by male line M2 and female line F2, then . Use to get and for the group of hybrids you want to predict. (Donât generate the full matrix for all possible combinations of the inbred lines, because it is too large).
10. The predicted values of new hybrids are
11. Repeat steps 9 and 10 for each group of potential hybrids, which can be calculated in parallel with multiple computer cores.
Reference
Zhao, Y., Thorwarth, P., Jiang, Y., Philipp, N., Schulthess, A. W., Gils, M., ... & Reif, J. C. (2021). Unlocking big data doubled the accuracy in predicting the grain yield in hybrid wheat. Science advances, 7(24), eabf9106.
Copyright: Content may be subjected to copyright.
How to citeïŒ
Readers should cite both the Bio-protocol preprint and the original research article where this protocol was used:
Zhao, Y and Reif, J(2021). Predicting the yield performance of all potential single-cross hybrids from the 4491 lines. Bio-protocol Preprint. bio-protocol.org/prep1206.
Zhao, Y., Thorwarth, P., Jiang, Y., Philipp, N., Schulthess, A. W., Gils, M., Boeven, P. H. G., Longin, C. F. H., Schacht, J., Ebmeyer, E., Korzun, V., Mirdita, V., Dörnte, J., Avenhaus, U., Horbach, R., Cöster, H., Holzapfel, J., Ramgraber, L., KĂŒhnle, S., Varenne, P., Starke, A., SchĂŒrmann, F., Beier, S., Scholz, U., Liu, F., Schmidt, R. H. and Reif, J. C.(2021). Unlocking big data doubled the accuracy in predicting the grain yield in hybrid wheat. Science Advances 7(24). DOI: 10.1126/sciadv.abf9106